怎么做肿瘤免疫微环境的研究?
发布时间:2025-06-09
浏览次数:22354
作者:东极药物
摘要APOBEC3酶在癌症的DNA突变中起重要作用。这些酶还能够将RNA特定位置的C碱基转化为U。然而,这种C-U RNA编辑在任何癌症中的流行率和意义目前尚不清楚。我们开发了一种生物信息学工作流程,利用1040个乳腺癌肿瘤的···
摘要
APOBEC3酶在癌症的DNA突变中起重要作用。这些酶还能够将RNA特定位置的C碱基转化为U。然而,这种C-U RNA编辑在任何癌症中的流行率和意义目前尚不清楚。我们开发了一种生物信息学工作流程,利用1040个乳腺癌肿瘤的外显子组和mRNA测序数据,确定已知APOBEC3介导的RNA编辑位点的RNA编辑水平。尽管由于测序深度的原因,可靠的编辑确定受到限制,但在肿瘤和邻近的正常组织中都观察到了编辑。在440个位点(411个基因)中,≥5肿瘤的编辑是可确定的,编辑发生在0.6%~100%的肿瘤(平均20%,SD14%),平均水平为0.6%~20%(平均7%,SD4%)。与RNA编辑量低的肿瘤相比,编辑量高的肿瘤免疫相关基因表达丰富,T细胞和M1巨噬细胞浸润、B细胞和T细胞受体多样性及免疫细胞杀伤活性均高于RNA编辑量低的肿瘤。与此相一致的是,肿瘤中RNA编辑增加的患者有更好的无病无进展生存率(风险比=1.67-1.75,p<0.05)。
研究结果

图1
图1:APOBEC3介导的RNA编辑站点。
(A)这项研究所考察的地点的特点,以饼状图表示。UTR,未翻译区域。
(B)显示了具有可检测的RNA编辑的癌症基因组图谱(TCGA)-BRCA肿瘤的部分的频率直方图,以及在肿瘤队列中检测到其编辑的440个位置的这种编辑的平均水平。
(C)队列中30个最常编辑的RNA显示了具有编辑的肿瘤的比例及其平均编辑水平。

图2
图2:RNA编辑和临床病理特征。RNA编辑的发生率-根据乳腺癌的不同特征绘制高肿瘤的图表。病理性(路径),分期、T和N TNM值按照美国癌症分期系统联合委员会计算。
乳腺癌亚型指标如下:l为管腔型,LH为鲁米那-HER2,H为HER2,T为三阴性。RNA编辑和临床病理特征。RNA编辑的发生率-根据乳腺癌的不同特征绘制高肿瘤的图表。病理性(路径。)。分期、T和N TNM值按照美国癌症分期系统联合委员会计算。
乳腺癌亚型指标如下:l为管腔型,LH为鲁米那-HER2,H为HER2,T为三阴性。对于MKI67基因的表达,用基因表达值的中位数来区分低组和高组。P值测定采用Fisher0精确检验法。
ER:雌激素受体
PR:孕激素受体
HER2:人表皮生长因子受体2

图3
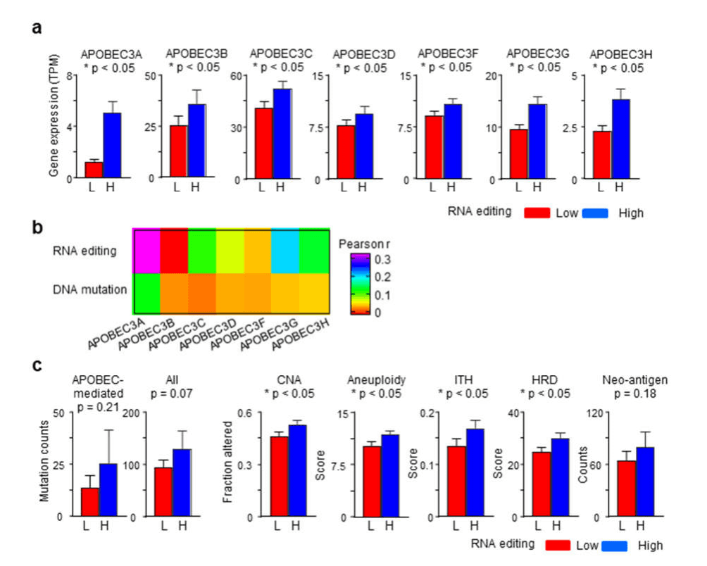
图3:肿瘤的RNA编辑和APOBEC3基因表达及基因组特征。
(A)Tukey盒图显示RNA编辑高(H)和低(L)肿瘤的APOBEC3基因表达。TPM,每百万份成绩单。
(B)热图显示APOBEC3基因表达水平与APOBEC3介导的C-to-U RNA编辑评分和APOBEC签名DNA突变负荷之间存在Pearson0相关系数。
(C)显示了用于比较RNA编辑的肿瘤基因组特征的柱状图-高肿瘤和低肿瘤。两组比较的P值用Fisher精确或标准t检验计算。
CNA:拷贝数改变
HRD:同源重组缺陷
ITH:肿瘤内异质性
SNV:单核苷酸变异

图4
图4:免疫相关基因集在RNA编辑中有丰富的表达--高肿瘤。
所示为(A)6个免疫相关基因集和(B)分子签名数据库(MSigDB)Hallmark收集的其他5个基因集的RNA编辑的高和低肿瘤的基因集变异分析(GSVA)得分的脊线图的示例。比较高、低肿瘤编辑评分的折叠率(FC)值和比较显着性分析中的假发现率(FDR)值采用贝叶斯调节t检验。EMT,上皮间质转化。

图5
图5:RNA编辑和免疫微环境功能。
RNA编辑组(高(H)和低(L)肿瘤)的(A)不同类型肿瘤浸润免疫细胞的相对比例和(B)T细胞受体(TCR)和B细胞受体(BCR)多样性(Shannon评分)和免疫细胞杀伤活性(CYT评分)的值被显示出来。用标准t检验计算两组比较的p值。
结论
我们的研究发现,APOBEC3介导的RNA编辑发生在乳腺癌肿瘤中,并与提高免疫活性和改善生存期呈正相关。
文章出自:验外实包 想了解更多请关注:http://www.dj-cro.com/













